近日,我院能量转换材料与器件课题组在n型PbS基热电材料的宽温域性能优化方面取得重要进展。相关研究成果“Enhancing thermoelectric performance of n-type PbS in a wide temperature range through band engineering and dynamic doping”以河北大学为第一单位发表在《Materials Today Physics》(2025, 59, 101907)。侯正浩博士为论文第一作者,钱鑫副教授、王淑芳教授为共同通讯作者。
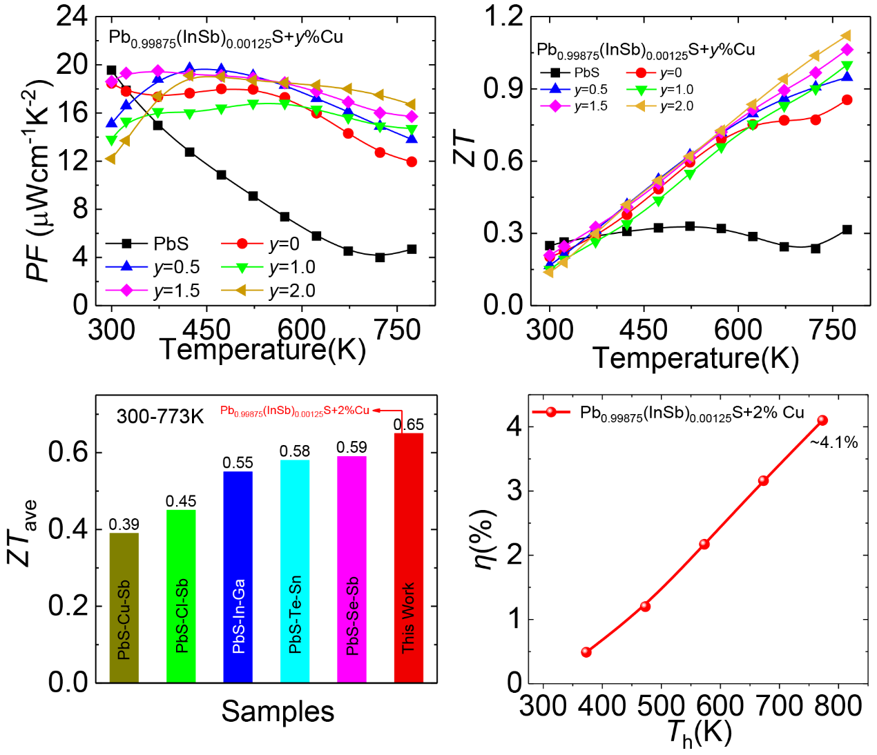
热电材料能够实现热能与电能之间的直接相互转换,在工业余热回收发电和固态制冷等领域展现出广阔的应用前景。材料的热电性能显著依赖于载流子浓度:较高的载流子浓度有助于提升电导率,但同时也会降低Seebeck系数,并可能增大电子热导率。此外,随着工作温度升高,材料达到最优热电性能所需的载流子浓度也随之增加。因此,实现载流子浓度的动态调控,对于提高材料在宽温域的热电性能至关重要。本研究提出一种微量掺杂与动态掺杂协同优化的策略,在维持较高载流子迁移率的基础上,通过能带结构修饰与载流子浓度动态调控,显著提升了n型PbS在宽温域(300–773 K)的热电性能。所制备的Pb0.99875(InSb)0.00125S+2.0 %Cu样品在整个测试温度范围内实现了18.2 μW·cm-1·K-2的高平均功率因子,平均ZT值达0.65,单臂热电器件实测能量转换效率约为4.1%。本工作通过能带结构调控和动态掺杂的策略相结合,为优化材料在宽温域下的热电性能提供了新思路,对推动PbS基热电材料在温差发电和热电制冷等领域的实际应用具有重要意义。

以上工作得到了国家自然科学基金、河北省自然科学基金、中央引导地方科技发展资金项目、河北省高等学校科学研究项目、河北省燕赵黄金台聚才计划骨干人才项目(博士后平台)、中国博士后基金项目的资助。
文章链接:https://doi.org/10.1016/j.mtphys.2025.101907